Products
Galactose
产品概述

Galactose is a disaccharide substance consisting of glucose and galactose molecules. It is one of the main components of lactose and is also the non-hydrated form of lactose.

立即购买
Product Functional Category and Applications

1. When some people lack the enzyme to break down lactose (called lactase), the food they eat with lactose can cause indigestion or discomfort. Then the galactose comes in handy. Galactose is a relatively small sugar content and is easier to digest than lactose. So, some lactose intolerant people, especially those who cannot fully digest lactose, can choose to eat products containing galactose. These products will be more easily digested and absorbed by their bodies, thus avoiding discomfort.

2, galactose is usually added to some dairy products, drinks, snacks, and other products to provide a more digestible option, especially for those who may not be able to tolerate common lactose. This way allows more people to enjoy foods that might have been restricted due to lactose problems.

Product Summary

Nonproprietary Names: galactose

Chemical Name: 4-O- β -D-galactopyran galactoglycoside

CAS accession number: 381716-33-2

Molecular Formula: C20H31N3O11

Molecular Weight: 489.47 g / mol

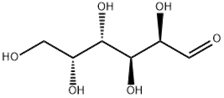
Structural Formula:


MSDS Specification and MSDS

apparent

white crystal

Total sugar content (measured in galactose)

95.0%

PH

4.0-6.0

Total number of colonies

1000 CFU/g

Heavy metals (measured in lead)

1.0 mg/kg

For specific product specifications and MSDS, please contact the product manager.

Product Package and Storage

Packaging: 25kg / bag, 20kg / bag

Storage: should be stored in a ventilated, dry, cool warehouse, should be fire prevention.

Shelf life: 2 years (not unsealed)

产品包装
Menu Products Application Tel