Products
Sorbitol Powder (Fine Powder)
产品概述

Sorbitol (Sorbitol solution, Sorbitol Powder) is a polyol natural sweetener, also known as sorbitol, obtained from glucose through a reducing reaction. Sorbitol is widely used as an alternative sugar and sweetener in the food and drug industry because its sweetness is similar to sucrose, and its low calorie content does not lead to elevated blood glucose levels, and is suitable for diabetics and people pursuing low-calorie foods.

立即购买
Product Functional Category and Applications


1. Compared with synthetic sweeteners, sorbitol has a more natural taste sensation and can provide sweetness similar to sugar for food and drink.

2. The sweetness of sorbitol is close to that of sucrose, but the calorie content is relatively low, so it can be used as an alternative sugar for low-calorie foods.

3. Sorbitol is not quickly absorbed during the digestion process and will not cause a sharp rise in blood sugar, so it is suitable for diabetic patients and people who need to control their blood sugar.

4. In cosmetics, sorbitol has good moisturizing performance, which helps to maintain the skin moist and comfortable.

5. Under high temperature conditions, sorbitol is relatively stable and suitable for high temperature processing processes such as baking, cooking and frying. It is recognized as food additives by the food regulatory authorities of many countries and regions, and its safety is highly recognized.


Product Summary

Nonproprietary Names: sorbitol

Nickname: Glucose alcohol

Chemical Name: D-sorbitol

INCI Name: SORBITOL

INCI Number: 05895

CAS Registry Number: 50-70-4

EINECS Registry Number: 200-061-5

HS Registry Number: 29054400

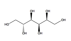
Molecular Formula: C6H14O6

Molecular Weight: 182.17 g / mol

Structural Formula:


Synonyms: sorbitol, sorbitol, sorbic alcohol, D-sorbitol

MSDS Specification and MSDS

apparent condition

Colorless clear liquid / white powder

Sorbitol content, w /%

50.0/91.0 (measured as dry base)

moisture content,w/%

≤31.0/ 1.5

Reduced sugar (in glucose), w /%

≤0.21/0.3

Total sugar (measured in glucose), w /

≤8.0/4.4

For specific product specifications and MSDS, please contact the product manager.

Product Package and Storage

Packaging: This product provides loose water; polyethylene plastic bucket or ton bucket packaging, 275kg / barrel, 1300kg / barrel; bags, 25kg / bag, 20kg / bag

Storage: keep at room temperature, avoid moisture and avoid light.

shelf life: 2 years

产品包装
Menu Products Application Tel