产品中心
槐糖脂
Sophorolipid
产品定义 Product definition
槐糖脂(Sophorolipid)是由假丝酵母菌以糖和植物油等为碳源,经一定条件的发酵工艺产生的微生物次级代谢产物,是一种糖脂类生物表面活性剂。槐糖脂具有常规表面活性剂所具有的增溶、乳化、润湿、发泡、分散、降低表面张力等通用性能,而且具有无毒、100%可生物降解、耐温、耐高盐、适应pH范围广及对环境友好等特性。槐糖脂可应用于石油、环保、医药、食品、化妆品、洗涤、家居护理、农业、饲料等领域,可达到部分或完全替代化学合成表面活性剂使用。
立即购买
产品功能和应用 Product Functional Category and Applications
1、石油工业:槐糖脂作为一种生物表面活性剂,具有降低油水界面张力的作用,运用于初次采油和二次采油之后的三采技术,槐糖脂可油田提高采收率;槐糖脂作为牺牲剂使用,减少昂贵驱油剂的用量或在地层中的损耗,和其它驱油剂复配后具有驱油效果好、见效时间长的优点,减少了驱油剂的用量,大大降低了成本。
2、农业生产:槐糖脂有促进作物营养吸收、改善土壤环境、促早熟、增产增收、防止部分病虫害的能力;槐糖脂可作为植物方法吸收土壤重金属离子的有效途径,槐糖脂是植物技术原位处理被重金属污染土壤的良好方法;槐糖脂作为润湿剂,添加于叶面肥料中,改善叶面肥料在蜡质层的润湿状况,使肥料充分铺展,促进肥料营养物质最大限度的被吸收利用。
3、医药制造业:槐糖脂可用于治疗创口及烧伤,加速其愈合过程,会减轻结合其他方法治疗时造成的相关结疤情况;槐糖脂对于抗击真菌和细菌感染很有效;槐糖脂还可用于抗炎、抗肿瘤等领域。
4、日化行业:槐糖脂可起到分散、润湿、保水、润滑、乳化的作用,并且它是一种低泡的表面活性剂原料,具有较温和的杀菌功效,槐糖脂可高效抑制痤疮丙酸杆菌及乳酸棒杆菌,并同时抑制脂肪酶的活性,防止皮脂分解而产生游离脂肪酸;槐糖脂可以刺激真皮纤维原细胞的新陈代谢和胶原质的合成,抑制自由基和弹性蛋白酶活性。槐糖脂具有巨噬细胞活化和纤溶性能,以及脱皮和脱色作用;此外,槐糖脂还可通过脂肪细胞刺激来普汀(抗肥胖药)的合成, 来减轻皮下脂肪的超负荷。


产品概述 Product Summary
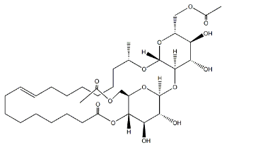
中文名称:内酯型槐糖脂 Lactonic Sophorolipid
化学名称:1′,4″-内酯-6',6″二乙酸酯
CAS登录号:148409-20-5
分子式:C34H56O14                  

分子量:688.8 

产品技术规格和MSDS Specification and MSDS

外观状态 浅黄色至棕色液体
有效含量 50 ± 5%
pH值 6.0-8.0
溶解性(水,有机溶剂) 易溶
表面张力 ≤35

具体产品规格书和MSDS请联系产品经理。
For specific product specifications and MSDS, please contact the product manager.

产品包装和储存条件 Product Package and Storage
包装:本产品提供散水,产品采用聚乙烯塑料桶或吨桶包装,每桶为275kg 或1250kg。
贮存条件:应存放在通风、干燥、阴凉的仓库内,应防火。
保质期:2年。
产品备注
栏目 产品 应用 电话